Okay, so here I am sharing a code for fitting a polynomial to a given set of data-points using the Least Squares Approximation Method(Wikipedia).
Let’s say we have

data-point pairs and we are trying to fit them using a polynomial of degree

. If N=n+1 then the polynomial will pass exactly through each point and it will correspond to the interpolating polynomial that I wrote about earlier.
Let’s say the polynomial we are using is given as:

with errors given by

Here, we are using

to represent the observed data-points corresponding to

. We now minimize the following quantity

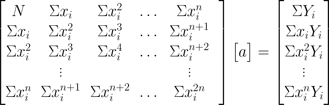
At the minimum all the partial derivatives with respect to the coefficients will vanish. This will give us the following

equations:


.
.
.

Dividing each by -2 and rearranging gives the

normal equations to be solved simultaneously:

where

and

are the data-points entered by the user and

which are the required coefficients.
So we just need to build up the above system of equations and then solve it using Gaussian elimination to get the coefficients.
The following program illustrates the process.
/******************************************************
*************Chi-square fitting**************
Polynomial Fitting
******************************************************/
#include<stdio.h>
#include<math.h>
/*******
Function that performs Gauss-Elimination and returns the Upper triangular matrix and solution of equations:
There are two options to do this in C.
1. Pass the augmented matrix (a) as the parameter, and calculate and store the upperTriangular(Gauss-Eliminated Matrix) in it.
2. Use malloc and make the function of pointer type and return the pointer.
This program uses the first option.
********/
void gaussEliminationLS(int m, int n, double a[m][n], double x[n-1]){
int i,j,k;
for(i=0;i<m-1;i++){
//Partial Pivoting
for(k=i+1;k<m;k++){
//If diagonal element(absolute vallue) is smaller than any of the terms below it
if(fabs(a[i][i])<fabs(a[k][i])){
//Swap the rows
for(j=0;j<n;j++){
double temp;
temp=a[i][j];
a[i][j]=a[k][j];
a[k][j]=temp;
}
}
}
//Begin Gauss Elimination
for(k=i+1;k<m;k++){
double term=a[k][i]/ a[i][i];
for(j=0;j<n;j++){
a[k][j]=a[k][j]-term*a[i][j];
}
}
}
//Begin Back-substitution
for(i=m-1;i>=0;i--){
x[i]=a[i][n-1];
for(j=i+1;j<n-1;j++){
x[i]=x[i]-a[i][j]*x[j];
}
x[i]=x[i]/a[i][i];
}
}
/*******
Function that prints the elements of a matrix row-wise
Parameters: rows(m),columns(n),matrix[m][n]
*******/
void printMatrix(int m, int n, double matrix[m][n]){
int i,j;
for(i=0;i<m;i++){
for(j=0;j<n;j++){
printf("%lf\t",matrix[i][j]);
}
printf("\n");
}
}
main(){
//no. of data-points
int N;
//degree of polynomial
int n;
printf("Enter the no. of data-points:\n");
scanf("%d",&N);
//arrays to store the c and y-axis data-points
double x[N], y[N];
printf("Enter the x-axis values:\n");
int i,j;
for(i=0;i<N;i++){
scanf("%lf",&x[i]);
}
printf("Enter the y-axis values:\n");
for(i=0;i<N;i++){
scanf("%lf",&y[i]);
}
printf("Enter the degree of polynomial to be used:\n");
scanf("%d",&n);
// an array of size 2*n+1 for storing N, Sig xi, Sig xi^2, ...., etc. which are the independent components of the normal matrix
double X[2*n+1];
for(i=0;i<=2*n;i++){
X[i]=0;
for(j=0;j<N;j++){
X[i]=X[i]+pow(x[j],i);
}
}
//the normal augmented matrix
double B[n+1][n+2];
// rhs
double Y[n+1];
for(i=0;i<=n;i++){
Y[i]=0;
for(j=0;j<N;j++){
Y[i]=Y[i]+pow(x[j],i)*y[j];
}
}
for(i=0;i<=n;i++){
for(j=0;j<=n;j++){
B[i][j]=X[i+j];
}
}
for(i=0;i<=n;i++){
B[i][n+1]=Y[i];
}
double A[n+1];
printf("The polynomial fit is given by the equation:\n");
printMatrix(n+1,n+2,B);
gaussEliminationLS(n+1,n+2,B,A);
for(i=0;i<=n;i++){
printf("%lfx^%d+",A[i],i);
}
}
출처 : https://www.bragitoff.com/2018/06/polynomial-fitting-c-program/
'개발자' 카테고리의 다른 글
| 데이터 기반으로 지속적인 CI/CD 개선 환경 만들기 (0) | 2021.11.14 |
|---|---|
| Atlassian JIRA 관련 정리 (0) | 2021.08.27 |